Math 180a Winter 2025. This course is the prerequisite for the subsequent courses math 180b/c (introduction to stochastic processes). Topics include principles of counting, axioms of probability, bayesโ.
Please note different classes fulfill different requirements for our programs. Uc san diego 9500 gilman dr.
Math 180A, I will be teaching math 180a in the winter of 2025 and math 285 in the spring of 2025.

Solved http//www.math.ucsd.edu/tkemp/180A/180A.HW8.pdf, This course is the prerequisite for the subsequent courses math 180b/c (introduction to stochastic processes).

Math 180A FA22 Homework 2 Math 180A Homework 2 Fall 2025 Due date, Welcome to the winter 2025 updates page!
7 Questions with Solutions in Introduction to Probability Exam 2, One math course with this aim.

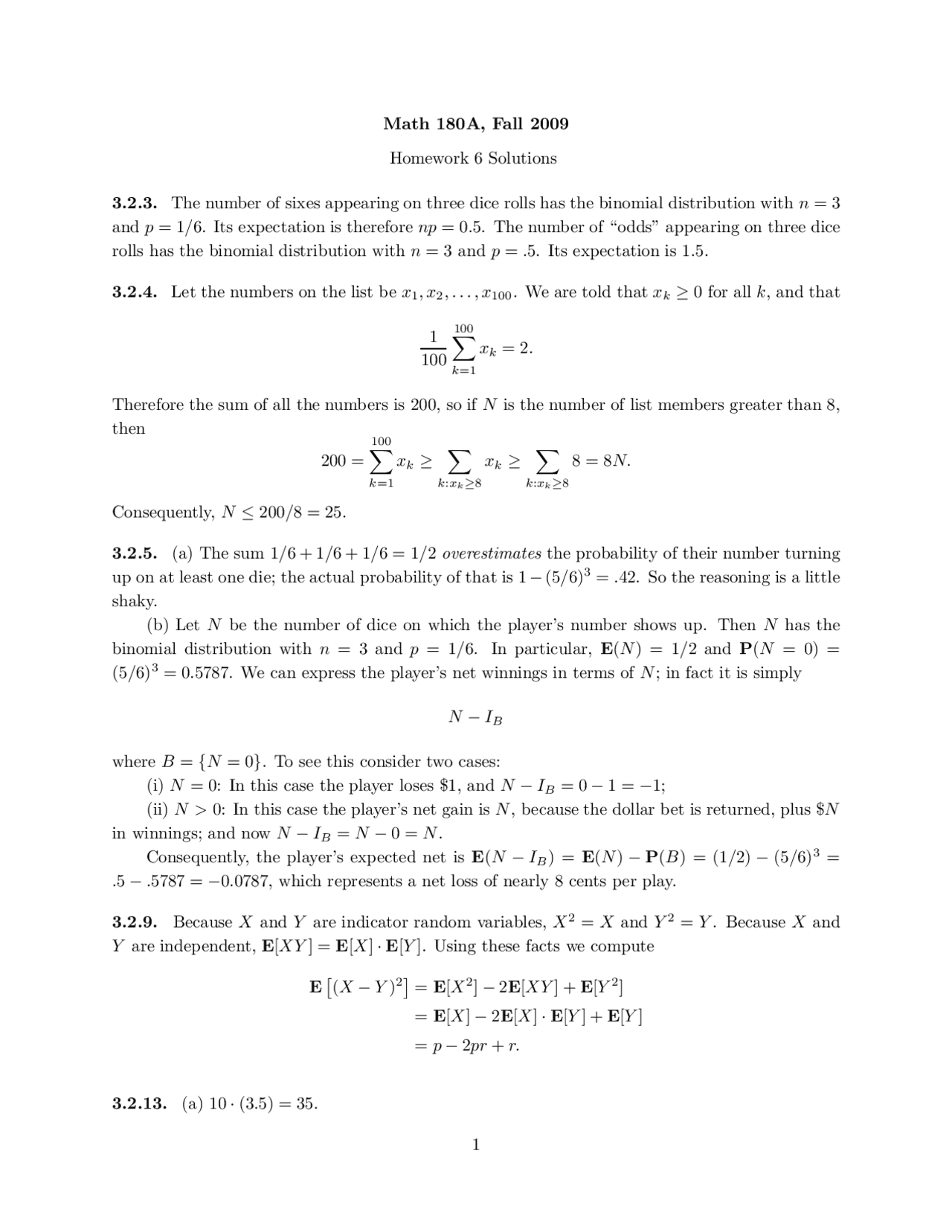
Homework 6 Solutions Introduction to Probability MATH 180A Docsity, One math course with this aim.

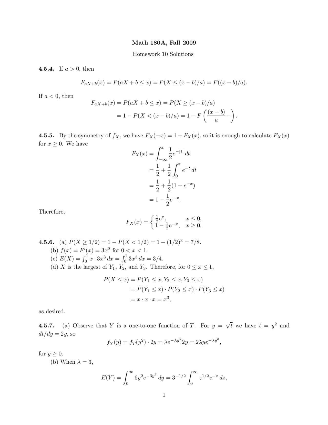
Homework 10 Solutions Introduction to Probability MATH 180A Docsity, Natural sciences (nsc) quantitative and symbolic reasoning (qsr)

MATH 180A INTRODUCTION TO PROBABILITY (WINTER 2011), Please note different classes fulfill different requirements for our programs.

Homework 6 MATH 180A HOMEWORK 6 SPRING 2025 Due date Monday 05/22, Take two and run to class in the morning.

Homework 7 Solutions for Introduction to Probability for Data Science, For reference i plan to be taking a 28 unit fall.